| 索引号 | 11500228709441663K/2025-00115 | 发文字号 | |
| 主题分类 | 财政 | 体裁分类 | 财政预算、决算 |
| 发布机构 | 梁平区城市管理局 | 有效性 | |
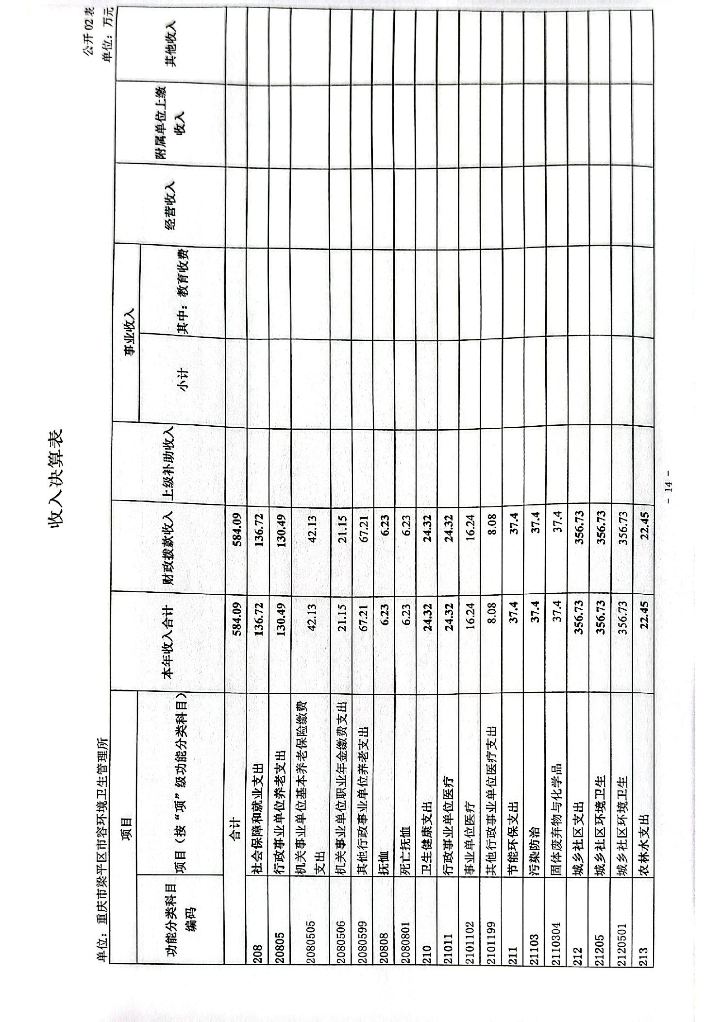
| 标题 | 重庆市梁平区市容环境卫生管理所2024年度决算公开说明 | ||
| 成文日期 | 2025-09-29 | 发布日期 | 2025-09-29 |
| 索引号 | 11500228709441663K/2025-00115 |
| 发文字号 | |
| 主题分类 | 财政 |
| 体裁分类 | 财政预算、决算 |
| 发布机构 | 梁平区城市管理局 |
| 有效性 | |
| 标题 | 重庆市梁平区市容环境卫生管理所2024年度决算公开说明 |
| 成文日期 | 2025-09-29 |
| 发布日期 | 2025-09-29 |






















