| 索引号 | 11500228008653209Y/2026-00002 | 发文字号 | |
| 主题分类 | 城乡建设、环境保护 | 体裁分类 | 其他 |
| 发布机构 | 梁平区回龙镇政府 | 有效性 | |
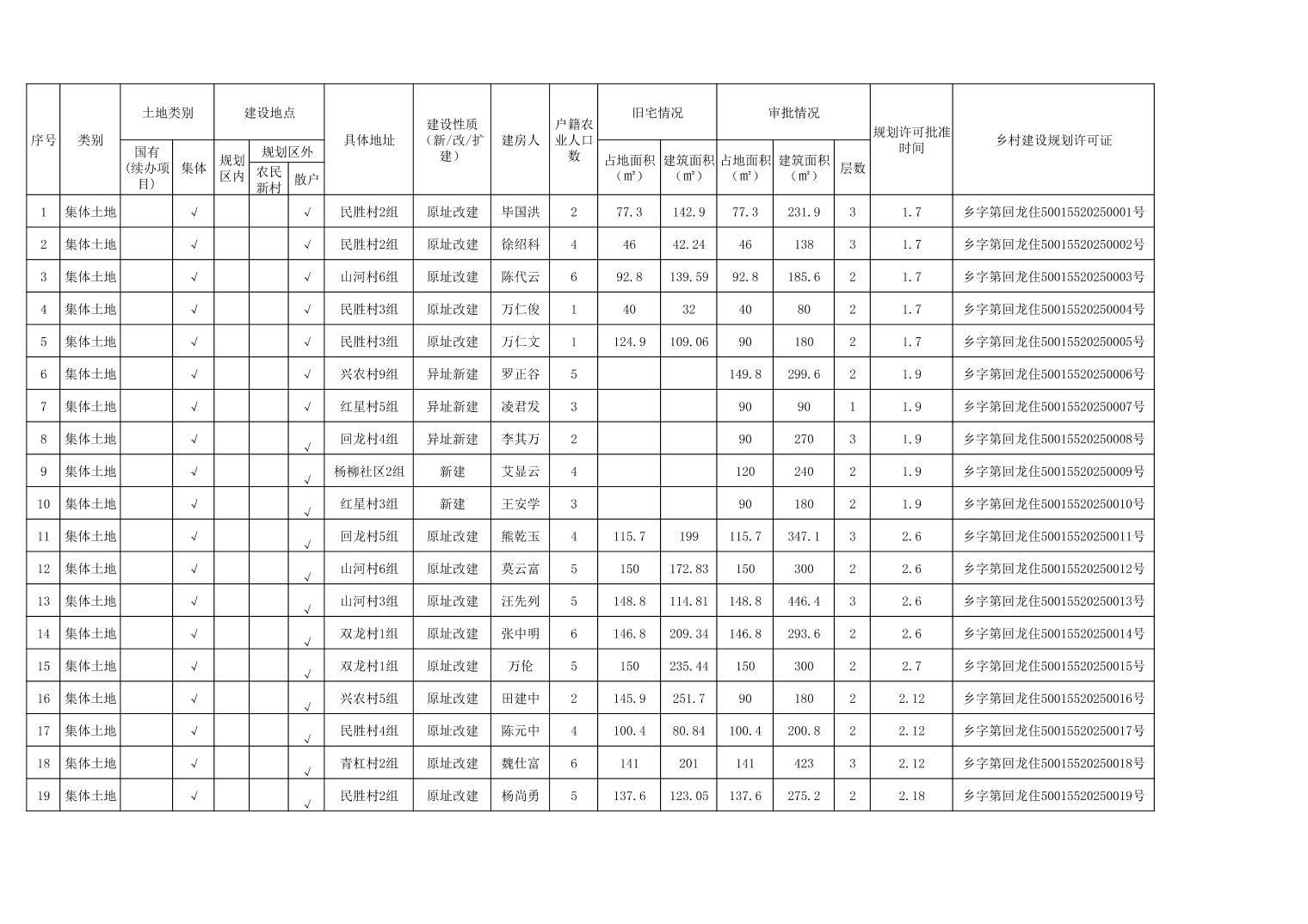
| 标题 | 回龙镇2025年村镇建设项目规划许可办理情况公示表 | ||
| 成文日期 | 2026-01-20 | 发布日期 | 2026-01-20 |
| 索引号 | 11500228008653209Y/2026-00002 |
| 发文字号 | |
| 主题分类 | 城乡建设、环境保护 |
| 体裁分类 | 其他 |
| 发布机构 | 梁平区回龙镇政府 |
| 有效性 | |
| 标题 | 回龙镇2025年村镇建设项目规划许可办理情况公示表 |
| 成文日期 | 2026-01-20 |
| 发布日期 | 2026-01-20 |
回龙镇2025年村镇建设项目规划许可办理情况公示表




